EN

创新发展

业内20年专业锤炼、促进环保行业新业态融合

一起了解聚苯硫醚滤料的结构模型

发布日期:2022-09-27  浏览次数:2320

返回列表

388vip太阳集团)聚苯硫醚(PPS)纤维滤料被广泛用于工业炉窑烟气袋式除尘,在复杂工况服役过程中需承受各种载荷作用,拉伸载荷最为常见。

 

聚苯硫醚(PPS)纤维滤料本质上为针刺非织造材料。将PPS短纤维经开松、混合、精开松、梳理、铺网、基布放卷、针刺、后处理等工序制作成滤料。

 

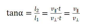
PPS纤维经过梳理机梳理,单纤维轴向与纤网轴向一致,纤维间首尾相连,形成单层纤网。如图1所示,纤网随铺网小车往复铺网(铺网小车速度为),并跟随传送帘向前移动(速度为),如此交叉铺网,纤维轴向(纤网轴向)与滤料轴向(纤网运动方向)成一定角度(纤维取向角)。

388vip太阳集团

假设滤料幅宽为ι1,对应铺网时间为τ,向前移动距离为ι2。则:

388vip太阳集团

经计算,PPS纤维取向角为5~15°。由此可见,滤料中纤维取向几乎与滤料横向一致,经针刺后,横向强度必然远大于纵向,因此需在两层纤网之间添加平纹机织布,以提供经向强力。

 

假设PPS纤维经梳理后纤维顺直,忽略纤维自身卷曲,且经刺针钩刺后,纤维随刺针倒刺上下移动呈现波浪形状而纤维本身不发生移动或纠缠,如图所示。

388vip太阳集团

实际上,PPS纤维经梳理机梳理并非完全成相互顺直、平行的单纤维状态,两层纤网与基布经针刺缠结后,随着滤料的牵伸,单纤维在滤料结构中空间状态较为复杂,难以结构化建模。因此,从纤维细观角度直接分析宏观滤料的拉伸强度特征较为困难。

388vip太阳集团

从宏观角度,忽略纤维的空间路径与缠结,将滤料看成一个整体。滤料与普通二维织物不同,其在厚度方向上存在“纤维层—基布层—纤维层”的三级结构,且厚度不可忽略,可认为是一种三维织物。由于滤料在x,y,z方向的结构各有不同,因此滤料是正交各向异性材料,示意图如上图所示。(388vip太阳集团